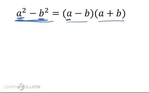
In this video, the teacher explains how to factor a quadratic by using the difference of squares method. They provide clear explanations and examples, breaking down the process step by step.
In this video, the teacher explains how to factor a quadratic by using the difference of squares method. They provide clear explanations and examples, breaking down the process step by step.